수문곡선 분석 : 지표유출 현상
- 자료실/수자원공학
- 2023. 5. 19.

강우에 대한 일반적인 유역 형상입니다. 유역에 내린 강우는 지역을 관통하여 서측에서 동측으로 이동하여 최종적으로 유역출구로 흘러 나갑니다. 기상요인, 생리학적 또는 유역요인, 인적요인(예 : 토지피복 상태 등)이 모두 유역출구의 반응에 기여합니다. 소유역 G와 F는 소유역 D를 통해 유출된 후 B를 거쳐 최종적으로 A를 통과하여 배출됩니다. 수문곡선은 1에서 4까지 번호가 매겨진 하천유역을 통과하는 홍수 경로를 나타냅니다.

위의 그림은 시간-면적의 히스토그램이 유역의 수문 응답을 계산하는데 어떻게 사용되는지 보여줍니다. 이 개념에서는 수문곡선이 배출구에서 동일한 이동 시간을 가진 영역의 다양한 기여도에 의해 구축된다고 가정합니다. 등시간선은 하위 영역과 이동 시간을 정의하므로 강우량 Pi와 면적 Ai의 곱을 계산하여 복잡한 강우 이벤트를 분석할 수 있습니다. A1의 지표 유출수가 가장 먼저 배출구에 도달한 다음 A2, A3 등의 순서로 배출구에 도달합니다. A2에 내리는 기간 P1의 강우량은 A1에 내리는 기간 P2의 강우량과 동시에 배출구에 도달하여 유출량 Q2를 생성한다는 점에 유의합니다. 첨두 유량은 유역의 모든 영역이 배출구에 기여할 때 발생합니다.

HEC-HMS의 Clark 단위유량도는 시간영역 히스토그램을 사용하는 것을 기반으로 합니다. 강우지속기간은 일반적으로 수문곡선의 시간 기준보다 훨씬 짧습니다. 위의 그림에서는 수문곡선이 최대 유량까지 상승했다가 40시간 이후 0에 수렴하는 것을 볼 수 있습니다. 3.3인치 강우량의 추기 부분은 토양 표면으로 침투하여 약 50%의 직접유출이 수문곡선에 기여한 결과입니다.

흥미로운 개념은 작은 유역에서 오랜 시간 동안 발생하는 균일한 강우량 입니다. 강우가 매우 오랜 기간동안 일정한 강도로 계속되면 어느 시점에서 지표면이 포화되고 유입과 유출이 같아지는 평형 유출에 도달할 수 있습니다. P지점은 전제 방류 영역이 흐름에 기여하는 시간, 즉 집중시간을 나타냅니다. 평형 유출 조건은 강우강도와 지속기간의 자연적인 변화로 인해 매우 작은 유역이나 주차장을 제외하고는 자연에서 거의 관찰되지 않습니다. 이러한 개념은 추후 단위유량도에 대한 S-Curve를 설명할때 사용됩니다.
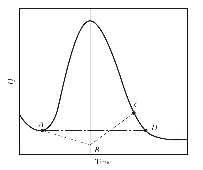
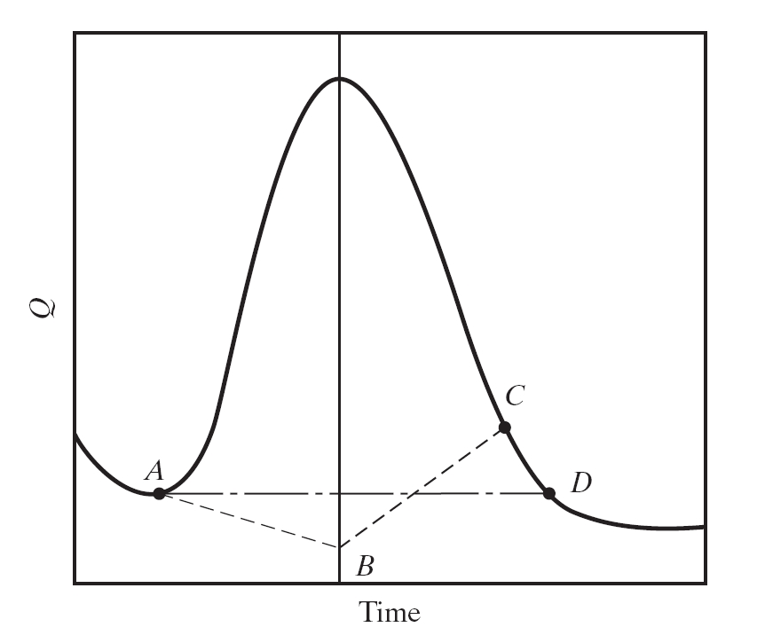
일부 강수량은 일반적으로 지표면 아래 10~100 피트에 있는 다공성 매질의 수면으로 침투할 수 있으며, 수면이 하천 수로과 교차하는 경우 하천에 천천히 유량을 공급할 수 있습니다. 자연 하천의 기본 흐름은 얕은 지하수와 이러한 기여로 인해 발생하며 수문곡선에 일부 흐름을 제공합니다. 대규모 자연 유역이나 강 유역에서는 기저 흐름이 하천 흐름의 상당부분을 차지할 수 있지만 지표유출이 우세한 도시화된 소규모 하천에서는 종종 무시될 수 있습니다. 기저유출은 직접유출 수문곡선을 작성하기 위해 전체 수문곡선에서 분리할 수 있습니다.


알반적인 수문곡선은 상승부, 첨부두, 감수부로 구분할 수 있습니다. 감수부의 변곡점은 종종 직접유출이 끝나는 지점으로 간주합니다. 초과강우 Pn은 총 강우량에서 침투 손실을 빼면 구할 수 있지만 증말은 일반적으로 작은 개별유역의 강우사상에 대해서는 무시할 수 있습니다 DRO는 총 강수량에서 침투량을 뺀 값으로 정의되는 초과강우 Pn에 대한 유역의 수문학적 반응을 나타냅니다. DRO수문곡선의 모양과 시기는 강우의 지속시간 및 강도 뿐만 아니라 유역을 지배하는 다양한 요인과 관련이 있습니다.
'자료실 > 수자원공학' 카테고리의 다른 글
| 유출과 기저흐름 분리 (0) | 2023.05.23 |
|---|---|
| 침투와 수문반응 (0) | 2023.05.22 |
| 하천흐름과 수문곡선 (0) | 2023.05.18 |
| 단순강우 유출 : 합리식 (0) | 2023.05.17 |
| 수문학적 원리 (0) | 2023.05.16 |