콘크리트 중력댐 댐에 작용하는 힘
- 자료실/수자원공학
- 2025. 3. 31.
반응형

콘크리트 중력댐 댐에 작용하는 힘
1. 일반사항
- 콘크리트 중력댐은 안정성을 확보하기 위하여 댐의 자중, 정수압, 동수압, 풍하중, 온도하중, 양압력, 파압, 빙압, 퇴사압, 지진력 등을 고려하여 설계한다.
2. 댐의 자중
- 댐 콘크리트의 단위중량은 실제에 사용하는 재료의 배합으로 시험을 실시하여 결정한다.
- 예비설계 등에서 미리 실험을 할 수 없을 때는 제체의 단위중량을 23kN/㎥으로 한다.
3. 정수압
- 댐에 작용하는 정수압을 계산하기 위한 설계수위는 일반적으로 상시만수위(NHWL)에 파압을 고려한 높이를 더한 수위를 기준으로 해도 좋다.
- 그러나 홍수위(FWL)가 상시만수위에 비하여 현저히 높을 때는 이것에 대하여 검토한다.
4. 동수압
- 동수압은 상시만수위면 이하의 기초지반까지 작용하는 것으로 한다.
- 지진에 의한 퇴사압의 증가는 퇴사면 아래에도 동수압이 작용하는 것으로 하며, 이때 퇴사압은 고려하지 않는다.
- 지진력이 작용하는 경우에 상시만수위면 아래 임의 점에서 발생하는 동수압은 다음식 (6.1)에 의해서 계산하며, 이것은 댐축 방향으로 1m 폭을 갖는 연직면에 수평으로 작용한다.

- 댐축 방향으로 1m 폭을 갖는 연직면에 수평으로 작용하는 총 동수압은 다음식 (6.2)와 같다.

5. 양압력
- 양압력은 댐 콘크리트와 기초암반의 접촉면, 시공이음이나 공극, 균열 등에서 일어나는 내부수압이며, 임의의 수평단면에 대한 연직방향으로 작용한다.
- 이 양압력은 댐의 안정을 감소시키는 외력이 되므로, 댐체의 양압력을 감소시키기 위해 댐의 상류측에 지수판을 설치하거나 차수 그라우트를 하고 댐 내부의 기초 갤러리에서 천공하여 일정간격(3m 내외)으로 연직의 배수공(drainage curtain)을 설치하기도 한다.
- 댐을 설계할 때는 내부수압을 측정할 수 있는 장치를 하고 장래의 필요에 따라서 내부수압을 감소시킬 수 있도록 한다.
- 차수 그라우트와 배수공의 작용에 의한 양압력의 분포는 <그림 6.1>과 같이 분포한다.

반응형
6. 파압
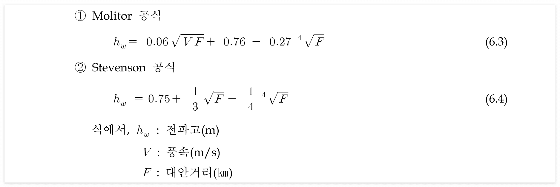
- 대부분의 댐은 산간지역에 건설되므로 풍속 및 저수지의 대안거리와 파고의 관계에 대해서는 Molitor 및 Stevenson 식을 사용한다.

- 수위상승을 정수압 설계에 고려할 경우에는 <그림 6.2>와 같이 파랑에 의하여 상승한 수위만큼을 정수압 계산에 추가하며, 이때 파랑고는 식 (6.9)와 같이 산정하는 SMB 법에 의한 유의파고를 적용한다.

- 댐 설계에 적용할 수 있는 파의 작용에 대한 개략적인 형태는 <그림 6.3>과 같다. 최대 단위압력은 정수위상의 약 hw/8 에서 일어나며, 그 값은 다음 식(6.5)로 구한다. 이때 전파고는 식 (6.3) 및 식 (6.4)를 사용하여 산정한다.

- 수압분포는 대략 3각형이 되고 그 작용점은 정수위로부터 3/8 hw 지점이다.
- 댐 상류면의 파랑 상승고는 댐 상류면이 연직인 경우에는 정수면에서 4/3 hw 이고 필댐과 같이 댐 상류면이 경사인 경우에는 정수면에서 1.4~1.5hw 정도가 된다.
7. 퇴사압
- 댐의 안정계산에는 퇴사의 영향을 고려한다. 설계에 사용되는 퇴사의 깊이는 대게 100년간의 퇴사량을 기본으로 해서 결정한다.
- 퇴적토사의 압력은 댐 상류면이 비탈진 경우 비탈면상의 연직토압은 수압과 같은 방법으로 취급하고 수평토압은 Rankine식으로 계산하며 식(6.6)과 같다.

8. 지진
- 지진은 댐에 가속도를 전달하여 댐에 작용하는 수압과 퇴사압 그리고 댐 내부의 응력을 더해 준다.
- 지진지대에 축조할 콘크리트 중력댐 설계에는 지진력을 반드시 고려하며, 지진력에는 수평지진력과 수직지진력이 있다.
- 세부내용은 「제12장 내진설계」의 기준에 따른다.
9. 빙압
- 빙압은 빙판이 열에 의한 팽창에 의해서 발생하므로 빙판의 두께, 온도 상승율, 저수면의 변동, 저수지내의 상태, 댐 상류면의 경사 등을 고려하여 구조물에 작용하는 빙압을 추산하여 설계에 고려한다.
10. 하중조합
- 하중은 저수지의 수위에 따라 그 조합을 달리하게 되며, 콘크리트댐의 하중조합은 아래와 같다.
콘크리트댐의 하중조합
| 저수지의 수위상태 |
설계하중 | ||||||
| 자중 | 정수압 | 지진시 동수압 |
빙압 | 퇴사압 | 지진 관성력 |
양압력 | |
| 설계홍수위 | ○ | ○ | × | × | ○ | × | ○ |
| 상시만수위 | ○ | ○ | ○ | ( ○) | ○ | ○ | ○ |
| 저수위 | ○ | ○ | ○ | × | × | ○ | ○ |
| 저수지에 물이 없는 경우 | ○ | × | × | × | × | ○ | × |
1. 지진의 경우 진도법 채택시 수평방향만 고려
2. 저수지에 물이 없는 경우에는 지진력을 1/2만 적용
출처 : 댐 설계기준
반응형
'자료실 > 수자원공학' 카테고리의 다른 글
| 콘크리트 중력댐 매트, 블록, 기초암반 설계 (0) | 2025.04.02 |
|---|---|
| 콘크리트 중력댐 단면설계 (0) | 2025.04.01 |
| 콘크리트 중력댐 설계일반 (0) | 2025.03.28 |
| 콘크리트 표면차수벽형 석괴댐 안정계산 및 계측설비 (0) | 2025.03.27 |
| 콘크리트 표면차수벽형 석괴댐 차수벽의 설계 (0) | 2025.03.14 |