직접 유출에 대한 NRCS 접근법
- 자료실/수자원공학
- 2023. 3. 30.
반응형
직접 유출에 대한 NRCS 접근법
다양항 유형의 토양에 대한 침투 거동을 연구하여 미국토양보전국은 강우로 인한 직접 유출을 계산하는 방법을 개발했습니다. 침투에 영향을 미치는 요인은 수문학적 토양형, 토지피복상태, 선행토양함수상태, 경작지나 농경지의 경우 작물 재배 관행 등입니다. 이러한 각 요소는 여러 등급으로 세분화됩니다. 수문학적 토양은 완전히 포화되었을 때의 지표면을 기준으로 네 가지 그룹으로 분류됩니다. 도시화로 인한 토양 상태는 상당한 교란이 발생됩니다.
| 토양군 | 토양의 성질 | 침투율(mm/hr) |
| Type A | 침투율이 매우 크며, 자갈이 있는 토양 | 7.62 ~ 11.43 |
| Type B | 침투율이 대체로 크고, 자갈이 섞인 사질토 | 3.81 ~ 7.62 |
| Type C | 침투율이 대체로 작고, 세사질 토양층 | 1.27 ~ 3.81 |
| Type D | 침투율이 대단히 작고, 점토질 토양층 | 0.00 ~ 1.27 |
수문학적 조건은 토지관리수준을 반영합니다. 수문학적으로 열악한 조건은 양호한 조건에 비해 더 많은 유출수를 제공하는 토지이용상태를 나타냅니다. 선행토양함수조건(AMC)는 강우가 발생하기 전의 유출 가능성과 관련된 토양 상태를 나타내는 지표입니다.
반응형
| AMC 조건 | 5일 선행 강수량, P5(mm) | 토양수분(%) | |
| 비성수기 | 성수기 | ||
| I | P5 < 12.70 | P5 < 35.56 | 10 |
| II | 12.70 <= P5 <= 27.94 | 35.56 <= P5 <= 53.34 | 50 |
| III | P5 > 27.94 | P5 > 53.34 | 90 |
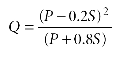
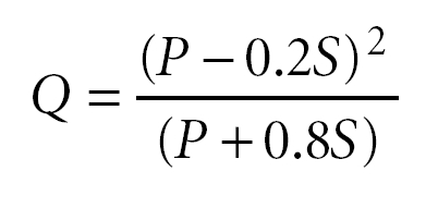
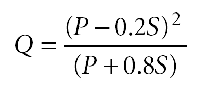
NRCS(SCS)는 유출곡선지수 시스템을 발전시켰습니다. 고유 유출곡선지수(CN)는 토지피복상태와 수문학적 토양형의 조합으로 할당된 CN(II)에 대한 CN값을 제공합니다. 다양한 수문학적 토양형과 토지피복상태가 있는 복합 지역의 경우 CN과 각 영역의 곱을 더하고 전체영역으로 나누어 결정됩니다. NRCS 유출량 방정식은 다음과 같으며 공식에 사용된 단위는 인치(inch.) 입니다.

- Q : 누적 유출수, 인치 배수 면적에 대한 깊이
- P : 누적 강우 깊이(인치)
- S : 토양에 대한 물의 잠재적 최대 보유량
잠재적 최대 저류량인 S는 CN과 다음의 관계가 있습니다.

반응형
'자료실 > 수자원공학' 카테고리의 다른 글
| 지하수의 범위 (0) | 2023.04.06 |
|---|---|
| 직접유출을 위한 침투지수 접근법 (0) | 2023.04.03 |
| 직접 유출에 대한 HEC의 비선형 손실률 함수 접근법 (0) | 2023.03.29 |
| 홀튼 침투 모델(Holton Model) (0) | 2023.03.28 |
| 호튼 침투 모델(Horton Model) (0) | 2023.03.24 |