유출곡선지수(CN)의 개요
- 자료실/수자원공학
- 2023. 6. 15.
수문학적 토양형은 A, B, C, D의 4개의 형태로 분류되며, 토성, 배수등급, 투수성, 투수저해토층의 유무 및 출현 깊이 등 침투수량을 지배하는 요인들이 적용된다.
수문학적 토양분류
| 토양형 | 토양의 성질 |
| Type A | 낮은 유출률(Low runoff potential), 침투율이 대단히 크며 자갈이 있는 부양질, 배수 매우 양호(high infiltration rate) |
| Type B | 침투율이 대체로 크고(Moderate infiltrarion rate) 돌 및 자갈이 섞인 사질토, 배수 대체로 양호 |
| Type C | 침투율이 대체로 작고, 대체로 세사질 토양층, 배수 대체로 불량 |
| Type D | 높은 유출률(High runoff potential), 침투율이 대단히 작고, 점토질 종류의 토양으로 거의 불투수성, 배수 대단히 불량 |
유출곡선지수는 표를 통하여 결정하고, 유역의 토양-피복별 면적분포를 산정하여 이를 가중인자로 유역전체에 걸쳐 평균함으로써 AMC-II 조건하에서 유역의 평균 유출곡선지수(CN)를 산정한다.
농경지역 및 산림지역의 유출곡선지수(AMC-II)
| 식생피복 및 토지이용상태 |
피복처리상태 | 토양의 수문학적 조건 | 토양형 | |||
| A | B | C | D | |||
| 휴경지(fallow) | 경사경작(straight row) | - | 77 | 86 | 91 | 94 |
| 이랑 경작지 (row crops) |
경사경작 | 배수나쁨 | 72 | 81 | 88 | 91 |
| 경사경작 | 배수좋음 | 67 | 78 | 85 | 89 | |
| 등고선 경작(contoured) | 배수나쁨 | 70 | 79 | 84 | 88 | |
| 등고선 경작 | 배수좋음 | 65 | 75 | 82 | 86 | |
| 등고선, 테라스 경작 | 배수나쁨 | 66 | 74 | 80 | 82 | |
| 등고선, 테라스 경작 | 배수좋음 | 62 | 71 | 78 | 81 | |
| 조밀 경작지 (small grains) |
경사 경작 | 배수나쁨 | 65 | 79 | 84 | 88 |
| 경사 경작 | 배수좋음 | 63 | 75 | 83 | 87 | |
| 등고선 경작 | 배수나쁨 | 63 | 74 | 82 | 85 | |
| 등고선 경작 | 배수좋음 | 61 | 73 | 81 | 84 | |
| 등고선, 테라스 경작 | 배수나쁨 | 61 | 72 | 79 | 82 | |
| 등고선, 테라스 경작 | 배수좋음 | 59 | 70 | 78 | 81 | |
| 목초지(pasture) 또는 목장(range) |
배수나쁨 | 68 | 79 | 86 | 89 | |
| 배수보통 | 49 | 69 | 79 | 84 | ||
| 배수좋음 | 39 | 61 | 74 | 80 | ||
| 등고선 경작 | 배수나쁨 | 47 | 67 | 81 | 88 | |
| 등고선 경작 | 배수보통 | 25 | 59 | 75 | 83 | |
| 등고선 경작 | 배수좋음 | 6 | 35 | 70 | 79 | |
| 초지(meadow) | 배수좋음 | 30 | 58 | 71 | 78 | |
| 산림(woods) | 배수나쁨 | 45 | 66 | 77 | 83 | |
| 배수보통 | 36 | 60 | 73 | 79 | ||
| 배수좋음 | 25 | 55 | 70 | 77 | ||
| 관목숲(forests) | 매우 듬성 듬성 | - | 56 | 75 | 86 | 91 |
| 농가(farmsteads) | - | 59 | 74 | 82 | 86 | |
도시지역의 유출곡선지수(AMC-II)
| 피복처리상태 | 평균불투수율 (%) |
토양형 | |||
| A | B | C | D | ||
| [완전히 개발된 도시지역] | |||||
| ● 개활지(잔디, 공원, 골프장, 묘지 등) | |||||
| - 나쁜상태(초지 피복률이 50% 이하) | - | 68 | 79 | 86 | 89 |
| - 보통상태(초지 피복률이 55~75%) | - | 49 | 69 | 79 | 84 |
| - 양호한 상태(초지 피복률이 75% 이상) | - | 39 | 61 | 74 | 80 |
| ● 블투수 지역 : | |||||
| - 포장된 주차장, 지붕, 접근로(도로 경계선을 포함하지 않음) | - | 98 | 98 | 98 | 98 |
| ● 도로와 길 : | |||||
| - 포장된 곡선길과 우수거(도로 경계선을 포함하지 않음) | - | 98 | 98 | 98 | 98 |
| - 포장길 배수로(도로 경계선을 포함) | - | 83 | 89 | 92 | 93 |
| - 자갈길(도로 경계선을 포함) | - | 76 | 85 | 89 | 91 |
| - 흙길(도로 경계선을 포함) | - | 72 | 82 | 87 | 89 |
| ● 도시지역 : | |||||
| - 상업 및 사무실 지역 | 85 | 89 | 92 | 94 | 95 |
| ● 공업지역 | 72 | 81 | 88 | 91 | 93 |
| ● 주거지역(구획지 크기에 따라) : | |||||
| - 150평 이하 | 65 | 77 | 85 | 90 | 92 |
| - 300평 | 38 | 61 | 75 | 83 | 87 |
| - 400평 | 30 | 57 | 72 | 81 | 86 |
| - 600평 | 25 | 54 | 70 | 80 | 85 |
| - 1,220평 | 20 | 51 | 68 | 79 | 84 |
| - 1,440평 | 12 | 46 | 65 | 77 | 82 |
| [개발중인 도시지역] | 77 | 86 | 91 | 94 | |
NRCS에서는 총우량과 유효우량간의 관계를 다음의 식으로 표시하였다.

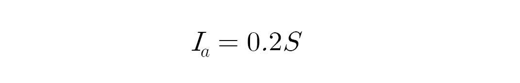
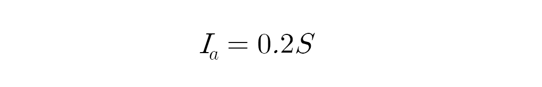
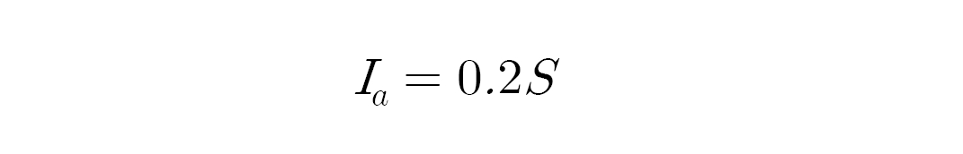
여기서 P는 호우별 총 우량(mm)이며 Ia는 강우 초기의 손실우량(mm), S는 유역의 최대잠재보유수량(potential maximum retention, mm) 이고 Q는 직접유출량에 해당하는 유효우량(mm)이다. 초기손실 Ia는 유출이 시작되기 전에 생기는 차단이라든지, 침투, 지면저류 등을 포함하며 S와는 다음의 관계를 가진다고 가정한다.

산정된 Ia를 아래식에 대입하면

유역의 잠재보유수량의 크기를 나타내는 S는 유역의 토양이나 토지이용 및 식생피복 처리상태 등의 이른바 수문학적 토양-피복형(hydrologic soil-cover complexes)의 성질을 대변하는 것으로 한 유역의 유출능력을 표시하는 유출곡선지수 CN이라는 변수를 다음과 같이 S의 함수로 정의함으로써 유출에 미치는 S의 효과를 간접적으로 고려하게 된다.

위 식을 이용하여 AMC-II 조건하에서 유출곡선지수별 총우량-유효유량간의 관계를 표시한 곡선이 아래의 그림이며, 강우-유출량에 의한 방법으로 최대 잠재저류량 S를 구하기 위하여 Q를 S에 대하여 정리하면 아래식으로 유도할 수 있고, 여기에서 산정된 S와 위 식을 이용하여 CN을 산정한다.

선행강우조건 AMC(Antecedent Soil Moisture Condition)는 유역의 잠재적 유출능력을 나타내는 지수로서 호우사상에 의한 CN의 변화를 감지하기 위한 것이다. 어느 한 유역의 평균적인 AMC에 대한 CN은 강우유출 자료로부터 구해진 CN의 중간치를 의미하며 이것을 CN-II로 사용한다.

출처 : 우수유출저감시설의 종류·구조·설치 및 유지관리 기준
'자료실 > 수자원공학' 카테고리의 다른 글
| 홍수도달시간 산정 (0) | 2023.06.15 |
|---|---|
| CN값을 이용한 유효우량 결정 (0) | 2023.06.15 |
| 목표연도 불투수면적 비율 결정 (0) | 2023.06.15 |
| 확률 강우 증가량 산정 (0) | 2023.06.15 |
| 설계강우의 빈도 설정과 시간분포 방법 결정 (0) | 2023.06.14 |