지속기간별 강우량자료 수집
- 자료실/수자원공학
- 2023. 6. 14.
반응형
연최대치 강우량 자료는 지속기간별로 10분, 60분 및 1시간 ~ 24시간(24개 지속시간)의 자료를 수집하여야 한다.
강우분석에 필요한 자료는 임의시간 강우량자료이어야 하며, 임의시간 강우량자료의 수집이 곤란한 경우에는 고정시간 강우량자료를 「하천설계기준」 등에서 제시하고 있는 환산계수를 적용하여 임의시간 강우량자료로 변환하는 방법 등을 적용할 수 있다.
홍수량 산정시 첨두홍수량 또는 첨두저수위(첨두방류량)가 최대가 되는 강우지속기간인 임계지속기간(Critical Duration) 개념이 도입되므로, 연최대치 강우량 자료는 10분 60분 및 1시간 ~ 24시간까지(24개 시간) 등의 지속기간별로 수집하여야 한다.
수문학적 지속기간은 고정시간이 아닌 임의시간을 의미하며, 임의시간 연최대치 강우량자료는 자기기록지를 판독하여 수집하여야 한다. 하지만, 우리나라의 경우 이와 같은 임의시간 강우량자료는 관측년수가 짧고 그나마 장·단기간 결측으로 자료가 부족하므로, 대안으로 고정시간 시우량(Clock-Hour Rainfalls) 자료를 수집하여 사용할 수도 있다.
반응형
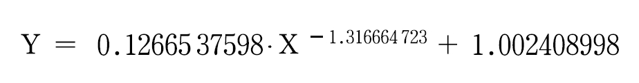
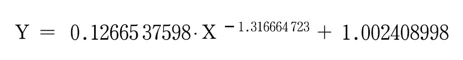
이러한 고정시간 시우량자료를 사용하는 경우에는 「하천설계기준」등에서 제시하고 있는 환산계수를 적용하여 고정시간 시우량자료를 임의시간 강우량자료로 변환하여야 하며, 환산계수의 회귀곡선식은 다음과 같다.

고정시간-임의시간 환산계수
| 고정지속기간 | 임의지속기간 | 환산계수 |
| 1시간 | 60분 | 1.129(1.13) |
| 3시간 | 180분 | 1.033 |
| 6시간 | 360분 | 1.013(1.02) |
| 24시간 | 1440분 | 1.005(1.01) |
| 1일 | 1440분 | 1.161(1.13) |
주 : ( ) 내는 미국 기상국(1958) 의 제안 값
반응형
'자료실 > 수자원공학' 카테고리의 다른 글
| 강우강도식 유도 (0) | 2023.06.14 |
|---|---|
| 확률강우량 산정 (0) | 2023.06.14 |
| 우량관측소의 선정 (0) | 2023.06.14 |
| 우수유출저감대책의 배수구역 및 목표연도 설정 (0) | 2023.06.13 |
| 우수유출저감대책 수립 목적 (0) | 2023.06.13 |