댐 계획 저수지 홍수추적
- 자료실/수자원공학
- 2025. 2. 6.
반응형

댐 계획 저수지 홍수추적
1. 일반사항
- 여수로의 설계나 저수지의 운영조작을 위해서는 저수지 홍수추적을 수행한다. 즉, 저수지 유입 설계홍수 수문곡선으로부터 여수로를 통해 방류되는 수문곡선을 계산하기 위해서 저수지 홍수추적 계산을 실시한다.
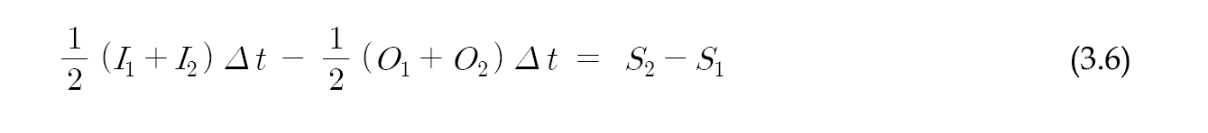
- 저수지 홍수추적 계산은 식 (3.6)과 같은 저류방정식을 이용하여 수행한다


2. 저수지 홍수추적시 고려사항
- 저수지 홍수추적 계산에 있어서 계산시간 구간인 추적기간 △t와 계산시점에 있어서의 방류량의 결정은 신뢰도에 영향을 미치므로 이의 결정에 유의함이 좋다.
- 홍수추적 방정식에서 추적기간 △t 시간 동안의 유입량 및 유출량이 직선적으로 변한다고 가정하므로 △t는 가급적 짧게 잡는 것이 좋으나, 계산량을 고려하여 홍수파가 저수지를 통과하는데 소요되는 시간의 약 1/2~1/3로 정한다.
- 계산시점에 있어서의 방류량은 추적계산 전 과정에 영향을 미친다. 실시간 홍수유출계산의 경우에는 계산시점에서의 저수위에 해당하는 방류량을 택해야 하나 설계 측면에서 홍수유출 계산을 할 경우에는 저수지의 홍수기 제한수위 혹은 상시만수위에 해당하는 방류량을 시점 유출량으로 택한다.
출처 : 댐 설계기준
반응형
'자료실 > 수자원공학' 카테고리의 다른 글
| 필댐 설계일반 (0) | 2025.02.10 |
|---|---|
| 댐 위치와 형식의 결정 (0) | 2025.02.07 |
| 유입 설계홍수의 계산절차 (0) | 2025.02.04 |
| 댐 계획 합성단위유량도법 (0) | 2025.02.03 |
| 댐 계획 단위유량도법 (0) | 2025.01.31 |